(Outline of future paper - no references and equations)
Introduction
Here we analyse
the evolution of two specific features of gender dependent personal income for
three races in U.S. population: white, black and Hispanic. Our analysis
includes extensive processing of actual data and
theoretical consideration at the microeconomic level. In contrast to all other
studies of income inequality we quantitatively predict individual incomes in a
given economy together with various aggregate measures (e.g. the Gini ratio) using
a complete dynamic model. This is an evolutionary model where the change of
incomes is driven by one exogenous variable – real GDP per capita (for working
age population) or mean personal income. This model allows to accurately describing
all observed characteristics of personal income distribution. In this study, we
explain the evolution of two age dependent parameters for various race/gender
configurations. These two parameters are the mean income and the share of
population in the Pareto distribution in the U.S. Both parameters are sensitive
to gender/race configuration and their evolution is driven by real GDP per capita.
The evolution of
age-dependent mean income demonstrates the overall lag between income earned by
people of different gender and race, which cannot be surmounted without dramatic
changes to the root social relationships between races and genders. The second
feature highlights deep discrepancy in the proportion of people of different
race and gender with the highest incomes (above $100,000). This disproportion
is especially high for the youngest and eldest age categories. The lack of presence in the high-income range
makes the shape of the age-dependent mean income distribution for all
“not-white-male” groups to lag by decades behind the white-male population. Our
microeconomic model of personal income distribution and evolution reveals the
fact that the observed disproportion in gender and race representation in the
high-income range has a measurable negative impact on real economic growth in
the U.S., not saying about the extremely high level of unjustified social
disparity.
Overall
behaviour and model
We start with a
simple graph comparing trajectories of mean income for two genders and two
races – white and black. Figure 1 also displays the mean personal income for
all population as reported by the Census
Bureau. Since white population prevails in the U.S. race structure the mean
incomes for all male and female are close to those for the white. The advantage
of white male over any other race and gender is obvious. The black male group is marginally above the white
female one. The
dominance of white male, as expressed by mean income, is obvious. Is it fair?
In this study we give a negative answer to this question investigating the
age-dependent mean income and the proportion of a given race-gender group in
the high-income range (above $100,000).
Following the
whole bulk of observations of personal income in the USA as well as in some
other developed countries, our microeconomic model (here, we skip
all technical details) links the change in any personal income and thus in the
mean income shape with the only parameter – the level of real mean income as
reported by the CB, which is shown by dotted black line in Figure 1. As a
substitute, one can use real GDP per capita calculated for working age
population. Mathematically, the work experience (i.e. the age of person less 15
years) for the peak mean income is proportional to the square root of real GDP
per capita. For the change in real mean income from 1967 to 2013, the predicted age of peak mean
income should increase from 44 to 53 years. Figure 4 compares the observed
curve of mean income dependence on age for 1998 and that predicted by the
microeconomic model. The overall shape and the age of peak income are predicted
with striking accuracy.
Figure 1. The
evolution of gender and race (white and black) dependent mean income as
reported by the Census Bureau (CB) in constant 2013 U.S. dollars. White
population prevails in the U.S. race structure and thus the mean incomes for
all male and female are close to those for the white population.
It is worth
noting that the increasing duration of growth to peak value explains the
problems with income in the youngest age group. The share of youngsters in
total personal income falls with time and this is one of fundamental features
of the US (as well as other developed countries) social structure. This is an intrinsic feature of any developed
economy (report on some other countries is under preparation). Larger real GDP
per capita implies longer way for an average person to her/his peak income and
thus a slower start for the youngest population. Figure 5 demonstrates that
this feature of real income behaviour is also extremely well predicted by our
model. We present two actual curves of mean income for 1962 and 2012 in the
range from 15 to 28 years of age as estimated from the microeconomic data
obtained from the IPUMS. The difference between these curves suggests that
economic conditions for the youngest population have been deteriorating. In
1962, the mean income for 28-year-olds was around 80% of the peak mean income.
In 2012, this level dropped to 60%. Two predicted curves shown by red and black
lines, respectively, demonstrate the accuracy of model predictions. This allows
us to predict that the conditions for the youngest population will be further
deteriorating as a consequence of real economic growth. The model predicts
exactly what will happen in the future with personal incomes depending on real
GDP per capita. Time does not matter per ce – it is just a parameter to quantify
real GDP estimates. It is worth noting that the best fit model year for actual
1962 data is obtained for the year of 1958. Considering the decreasing level of
accuracy of GDP and mean income estimates in the past, this difference is just
marginal.
For the level of
measurement accuracy of the overall personal income distribution, the model
predicts the increase in the peak age quite well. Our model is extensively used
in fine data analysis and accurate predictions. The US society is not a homogeneous one and genders
and races demonstrate different features and long-term behaviour. In the next paragraph, we consider some
differences between races and genders.
Figure 2. The
evolution of age-dependent nominal mean income between 1967 and 2013.
Figure 3. The
evolution of age-dependent mean income between 1967 and 2013. Both curves in Figure 2 were smoothed with an
eight-year-moving-average and then normalized to their respective peak values.
Figure 4.
Comparison of the observed mean (averaged in five-year bins except the bin
between 15 and 24 years of age) income dependence on work experience (open
circles) and that predicted by our model (dotted line) for 1998. The model
provides annual estimates. The age of peak mean income is accurately predicted
as well as the shape of the observed curve. Our model describes the whole
period between 1929 (start of the GDP time series in the U.S.) and 2013.
Figure 5. The
evolution of mean income in the youngest age group. The actual mean income
estimates for 1962 (red circles) and 2012 (black circles) are estimated from
microeconomic data obtained from the IPUMS. The model predictions are shown by red
and black lines, respectively. The best fit model year for actual 1962 data is
obtained for the year of 1958. Considering the decreasing level of accuracy of
GDP and mean income estimates in the past, this difference is just a marginal
one.
Race
and gender: unfairness of income distribution
Figure 6 repeats
Figures 2 and 3 for the mean income of white male population. Here we use the income values averaged in ten-year-wide bins (e.g., from
15 to 24 years of age) as reported by the CB. The curves for white males have
the same striking feature as observed in the overall income distribution – the
increase in the age of mean income peak. Figure 7 supports this observation by showing
two similar curves for people with Hispanic origin. As for white males, the age
of peak mean income increases with time.
The observed
increase in the peak age in the mean income curve is a reliable feature which
is accurately (in quantitative terms) explained by our model. However, there
also exists the difference between mean income curves for different genders and
races. For example, the mean income curve for white males peaks at higher age than
the overall curve, as Figure 8 demonstrates. Figures 9 and 10 reveal the same
feature in the mean income curves for male and female population, respectively,
and compare three races. Figure 11 illustrates the fact that the most recent
mean income trajectories of the “lagging” gender and races actually almost
repeat the earlier trajectories for the “leading” gender-race configuration.
All these observations are a challenge to our model predicting that the age
distribution of mean income depends only on the real GDP per capita. Everything
else being equal, the shape of mean income curve for white males must be
similar to the shape of mean income distribution for all other gender-race
configurations. Assuming the model is correct our current task is to find the model
feature which does not fit reality for some reason. It is worth to identify
this (-ese) reason(s) in order to understand its (their) impact on the
distribution of personal income in the USA. If the impact is negative and can
be controlled by socio-economic measures, one has to develop an adequate policy
to improve the performance of the U.S. economy and likely society.
Figure 6. The
evolution of age-dependent mean income for white male between 1974 and
2013. Upper panel – real mean income.
Lower panel: both curves in the upper panel were normalized to their respective
peak values.
Figure 7. The evolution of the age-dependent mean income for
Hispanic population.
Figure 8. The
age-dependent mean income distribution for all population, male, and white male
in 2011.
Figure 9. Comparison of the age-dependent mean income
distribution in 2013 (2012 for Hispanic) for three races of male population.
The white male distribution peaks at a larger age with the black and Hispanic
population having similar peaks.
Figure 10. Comparison of the age-dependent mean income
distribution for three races of female population. The white male distribution
peaks at a slightly larger age, but the difference with the black and Hispanic
population is much smaller than for white male.
Figure 11.
Comparison of mean income evolution with age for white and black male and
female. Both curves for the whites lead by approximately 25 years corresponding
curves for the blacks. The similarity of shapes is extraordinary, considering
the lag of 25 years.
Our model is
based on an assumption that any income is earned by a person with a given work
capability (which is slightly different from the term “human capital”, but the
latter term is adopted in the conventional economics as the productive force
related to people) which is applied to some working instrument (aka work
capital - the real value of all machinery,
equipment, buildings, hardware, software, brands, etc.) Formally, the
relationship between income, personal capability, and the size working
instrument is similar to the Cobb-Douglas production function linking total
production to labour and capital for the whole economy, but at the personal
level. The key difference between mathematical representation of our model and
the Cobb-Douglas function consists in the additional term describing all
external and internal forces counteracting otherwise unlimited income growth (similar
to term discounting adopted in economics). We call this process “dissipation”
as adopted in physics since the rate of “discounting” is proportional to the
attained level of income and inversely proportional to the size of work
instrument. A good example from physics would be the evolution of average
temperature in a sphere heated by homogeneously distributed internal source and
cooled only through its surface. When the energy flux through the surface is
proportional to its temperature, the final (stationary) temperature depends
only on the sphere radius, ceteris
paribus. Numerous observations confirm that the growth of personal income
with age together with the income averaged over the whole population follows
the same trajectory as the temperature of a sphere heated from zero.
Having the
defining equation for one person one can predict the overall income evolution
when all individual capabilities to earn money and all sizes of work
instruments (work capital) are known. In our model, we assume that all people
(independent on race and gender) are distributed evenly over their personal work
capability (which ranges from 2 to 30) and the size of instrument they use to
earn money (2 to 30). So far, this
assumption worked well for total population. Indeed, actual deviations from the
uniform distribution related to gender and race disparity may be just marginal.
When the largest part of the highest incomes belongs to white males, who are
the biggest part of population with income, the deprivation of income existing
in other races and gender is not seen well. For example, when 10,000 people (different
from white males) reside in the middle-income range instead to progress into
the highest income group the effect on the average income in both income ranges
is likely too small to be seen in the overall distributions. Since the biggest work instruments do exist
but are not used by these deprived people, these instruments are then used by
white males with lower human capital. This replacement makes the difference
between predicted and observed incomes even smaller and the model gives an
accurate prediction.
Consequently,
one explanation to the difference in the mean income curves in Figure 8 is that
the distribution over work capability and/or work capital is not even. Then the
difference in income distribution between genders and races can be dramatic.
The purpose of this study is to demonstrate that the distribution over work
capital is the same for both genders and all races, while the working capital
is not distributed uniformly.
The
highest incomes
At first, we
would like to establish the fact that the whole female population
and not-white males have severe deficit among persons with the highest incomes.
Figure 12 displays the
age-dependent share of white male and white female population with incomes
above $100,000 as measured by the CB in 2013. To calculate these distributions
we divided the population with income above $100,000 in a given age bin to all
relevant (male or female) population in the same bin. As a result, the share of
population is obtained for each age bin and both genders. Figure 13 demonstrates that both curves
(together with the overall curve) have the same peak age. According to our
model, this means that the distribution of personal capabilities and sizes of
work capital is uniform for both genders in the high-income bin. However, males
are two-three times more frequent among high-income population than
females. Figure 14 presents three
age-dependent ratios of male and female shares in the high-income bin for three
races. Between 25 and 65 years of age, these ratios fluctuate in the range from
2 to 3. Independent on race, males are 2 to 3 times more “successful” than
females, with the whites having a slightly higher ratio between 30 and 60.
Figure 15 illustrates
the advantage of white males over black and Hispanic males. The white male
share in the high-income bin (above $100,000) is 2 to 3 times larger for ages
between 25 and 65, as Figure 16 shows. Overall, the advantage of white male
over black or Hispanic female is between 4 and 9. This disparity does not mean
that females and not-white races have smaller human capital (the capability to
earn money). Since the peak ages of all distributions are the same, our model
suggests that the distribution over capabilities and instrument sizes was the
same for all races and genders. However, in all other categories except the
“white-male” one, 60% to 90% of people with the highest capabilities to earn
money were deprived of well deserved highest-size working capital.
However, there
is no reason to think that these people have lost their capabilities. Instead
of the highest instruments (work capitals) they are forced to use some smaller
instruments. This replacement has two
outcomes. Firstly, the largest instruments are now occupied by white males with
slightly lower capabilities. This affects the rate of income growth for these
“substitutes” and they reach the Pareto distribution slightly later than it
would happen for people from the deprived gender and races with the highest
capabilities. This effect is hard to reveal using the crude measurements
provided by the CB. The CPS survey does not cover well the not-white-male population
with the highest incomes. Moreover, we do not know the exact share of people
which has to be in the Pareto distribution. Despite the difficulty to
accurately measure this effect we can say that it is highly important for
economic growth. People with the highest income really drive the economy (at
the end of the day GDI = GDP) and the earlier entrance in the highest income
group of even a fraction of a percent extra people will accelerate real economic
growth. Best people do drive the
economy.
Secondly, those (not-white-male)
people who were shifted to lower instruments have to reach their peak income
slightly earlier. Our model describes this effect and shows that very capable
people quickly reach the largest possible income for a given instrument size.
This is similar to heating of a smaller sphere (working instrument) with the
same bulk density of heating sources.
The time needed to reach the highest possible temperature will decrease
with decreasing radius. Overall, the gifted
people should decrease the age of peak mean income. This is the effect observed
in Figures 8 through 11. All female and not-white-male curves are characterized
by earlier peaks. This observation is a direct indication of the uniform
distribution of working capabilities among both genders and all races. We are
going to model these effects quantitatively and to estimate the level of
downshifting.
Summary
1.
For
a given year, the dependence of mean income on age differs noticeably between
genders and races.
2.
The
age of peak mean income depends on gender and race and increases with
increasing GDP per capita.
3.
The
white male distribution has the largest age of the mean income peak.
4.
The
shape of the age-dependent mean income curve for white females and all other
gender/race configurations repeats the shape of the white-male curve observed
20 to 30 years before.
5.
The
shape of the overall mean income dependence on age is closer to that the
white-male-curve since white males has the largest part of the total income and
thus contributes much to the mean income figures.
6.
Our
model explains all observed features by one cause – the female population and
not-white races have the same distribution of the capability to earn money and
consistently low sizes of work instruments (work capital) compared to those for
white men.
7.
Considering
the same capability to earn money for white females and other races, one can
conclude that they are shifted to relatively lower work capitals by force.
8.
Equal
(fair) distribution of income between genders and races has not been achieved
yet.
9.
The
relatively lower instrument sizes given to white females and other races make
their representation in the income bins above the Pareto threshold to be lower
than it must be.
10.
In
turn, this effect lowers the mean income for the same age since a relatively
lower numbers of rich people occur in all age groups.
11.
The faster
income growth and the earlier age peak in the Pareto distribution for white females
and other races indicates that their higher capacities were applied to smaller
instruments (capital) in line with the deprivation of higher instrument sizes
of the female population.
Figure 12. The
age-dependent share of white male and female with incomes above $100,000 in
2013. The distribution of female population is not well measured due to insufficient
representation of high-income females in the ASEC survey.
Figure 13. The
age-dependent share of white male and female population with incomes above
$100,000 in 2013, both are normalized to their respective maxima. Both curves
have peaks at the same age as well as the overall (“All”) curve.
Figure 14. The
ratio of male and female high-income distributions for three races. Between 25
and 65 years of age, these ratios fluctuate in the range from 2 to 3.
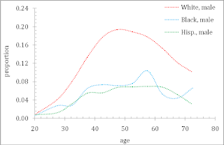
Figure 15. The
age-dependent share of white male, black male and Hispanic male population with
incomes above $100,000 in 2013. The distribution of black and Hispanic
population is not well measured due to insufficient representation in the high-income
bin in the ASEC survey.
Figure 16.
White/black and white/Hispanic ratios for the high-income male population.
Between 25 and 65 years of age, these ratios fluctuate in the range from 2 to
3.
Some
policy recommendations
As
a principal result of this study, we propose to develop a responsible social
policy aimed at the acceleration of real economic growth. Equal opportunity for
genders and races to use the largest instruments of working capital will bring
immediate increase in real Gross Domestic Income, i.e. in Gross Domestic
Product. The effect of this social policy will be also observed in the
long-run, before the distribution of instrument sizes over genders and race
becomes even. Here we do not even say about the resulting social equality which
will be the outcome of income equality between races and genders. This does not
imply income equality between people, however.

















No comments:
Post a Comment